
時至今日,時頻分析方法至今已經歷了近70年的發展,在這些年的發展過程中,為解決不同的問題,形成了多個分支,演變成了多種形式。但總體來看,目前時頻分析方法可分為三類:一是以能量分布方法為主,這類以Cohen類為代表;二是原子分解方法.主要以Gabor...
2022
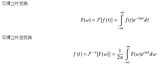
在傅里葉變換提出來以前,人們對信號進行觀察與分析只能夠從時域角度進行,時域角度進行信號處理具有直觀的特點,對信號的幅度變化特征能夠進行較好的描述,但這種方法具有抗噪性能差的特點。 在1822年,傅里葉變換理論被提出,自此人們獲得了能夠從另外一個角度...
2022
隨著將來高精度同步應用需求不斷增大,衛星模擬器在授時接收機測試中的應用也將日益廣泛,但在實際使用中需要注意若干問題。首先,要考慮授時接收機的發展現狀,結合實際應用(如5G無線網絡)對高精度授時接收機的要求,設定合適的測試項目和指標;比如我們應著重研...
2022
授時接收機無疑應當安裝于天空開放條件較好的地方,但如果來自建筑物等的地面遮擋不可避免,評估授時接收機的時間性能就很有必要。使用衛星模擬器進行多徑接收測試,可以對此情況進行預判。模擬器可以在接收機天線方向角180-1800,仰角00-90的的范圍內,...
2022
接收機靈敏度和捕獲時間是授時接收機的兩個常用的性能指標,在依據真實導航衛星的條件下,北斗、GPS衛星分布因時因地而不同、信號強弱因自然條件不同,而且不可人為控制;這些情況都給測試造成困堆,而且影響到這兩項測試的結果;使得同一臺授時接收機在每次測試中...
2022
在對授時接收機靈敏度和捕獲時間測期間,出現了兩次閏秒調整期間,導致了部分北斗授時設備時間顯示錯誤問題;無需等待自然閏秒的發生,衛星模擬器可以模仿導航衛星在任意***時刻發出閨秒播報;用的性能指標,在依賴真實導航衛星的條件下,衛星分發出閏秒播報,從而達...
2022
掃一掃咨詢微信客服